pirika.comで化学
>チャピエモン-3rd Pirika Origin (CPO)
> ハンセン溶解度パラメータ (HSP)
> 化学全般
> 情報化学 >物性化学 >高分子化学 >化学工学 >その他の化学 >昔のもの
>情報化学ツール >MAGICIAN養成講座 >STEAM
>Pirika ツール群
ブログ
業務案内
お問い合わせ
[1. 概要]
無機物のハンセンの溶解度パラメータ(HSP)は実測で求める。HSPが既知の溶媒を用いて分散試験を行う。定性的な解析を行うなら良溶媒と貧溶媒に分ける。何を尺度に良溶媒と貧溶媒を分けるのか、によって求まる無機物のHSPは異なる。尺度としては、古くは無機物の沈降時間[*1]や沈降高さで評価することが多かった。沈降時間に関しては、溶媒の粘度や密度の関数になる。最近の研究としては遠心沈降方式のLUMISIZER[*2]やパルス(緩和時間)NMR[*3]の測定結果を尺度に使う。ある無機物が一つに決まり、その実測によりHSPが決まる。
次に任意の組成のガラスのHSPを求める。
HSPの値とガラスの組成のペアがあれば各々の酸化物のHSPを重回帰法[*4]で求めることができる。全ての酸化物(フッ化物)のHSPが決まって、ガラスのHSPが構成する原料の組成mol%と原料のHSPで決まるならガラスのHSPは計算で出すことができる。
全ての原料のHSPが決まっていない場合には組成とHSPの相関を考えるのではなく、HSPとガラスの物性値の相関を考える。ガラスの物性値の推算式の構築はpirikaの研究で既に行っている。
[2. 実測によるガラスのHSP]
ガラスの分散試験
(JPA 2022151479 AGC特許ー光学フィルター)
| Name | CAS | A1 | A2 | A3 | A4 | A5 | A6 |
| Acetonitrile | _75-05-8 | 0 | 0 | 0 | 1 | 1 | 0 |
| γ-Butyrolactone | 96-48-0 | 0 | 0 | 1 | 1 | 0 | 0 |
| m-Cresol | 108-39-4 | 0 | 0 | 0 | 0 | 0 | 0 |
| Diethyl Ether | 60-29-7 | 0 | 0 | 0 | 0 | 0 | 0 |
| Dimethyl Formamide | _68-12-2 | 0 | 0 | 1 | 1 | 1 | 1 |
| Dimethyl Sulfoxide | 67-68-5 | 1 | 1 | 1 | 1 | 1 | 1 |
| Ethanol | 64-17-5 | 0 | 0 | 1 | 0 | 1 | 0 |
どのようなガラスがどんな溶媒に分散したか、しなかったかの実測からHSP決めている。でも、そのガラスがどんな組成かはわからない。
沈降時間からHSPを決める
[資生堂基礎科学研究所 色材、65(4), 164-270 (1992)]
TiO2単体のHSPは決定できる。
沈降高さから決める[*5]


沈降高さ法で無機物のHSPを決めるにはとても時間がかかる。粒子のサイズにもよるが1ヶ月近く放置する事もある。ここで問題になるのが、沈降高さが低いものが良溶媒なのか、それとも貧溶媒なのかだ。沈降時間で見ると図1のAはどの溶媒に対しても一番早く沈殿してしまうように思える。Eの無機物は沈殿しにくく、どれも良溶媒に見える。しかし、十分な時間をおいて沈降高さをとった場合、図2に示すように沈降高さは低くなるものの方が良溶媒と考えた方がHSPの理論に合う。

ガラス組成が既知で沈降高さ法でHSPが決まった処方が数十点準備できた。
| No | 物性値 | SiO2 | B2O3 | MgO | Na2O | TeO2 | dD | dP | ||||
| 1 | 18.13 | 0.0 | 0.0 | 0.0 | 0.0 | 0.0 | 18.13 | 15.82 | ||||
| 2 | 20.31 | 13.5 | 23.2 | 0.0 | 0.0 | 0.0 | 20.31 | 12.5 | ||||
| 3 | 20.25 | 0.0 | 20.2 | 0.0 | 0.0 | 0.0 | 20.25 | 11.47 | ||||
| 4 | 17.94 | 60.4 | 15.7 | 0.0 | 2.0 | 0.0 | 17.94 | 15.71 | ||||
| 5 | 18.33 | 0.0 | 0.0 | 0.0 | 0.0 | 0.0 | 18.33 | 13.77 | ||||
| 6 | 18.55 | 30.0 | 45.0 | 0.0 | 3.0 | 0.0 | 18.55 | 13.88 | ||||
| 30 | 20.4 | 0.0 | 19.5 | 0.0 | 0.0 | 0.0 | 20.4 | 12.42 | ||||
| 31 | 21.42 | 55.6 | 0.0 | 22.2 | 0.0 | 0.0 | 21.42 | 13.32 | ||||
| 32 | 20.99 | 55.6 | 0.0 | 22.2 | 0.0 | 0.0 | 20.99 | 12.74 | ||||
| 33 | 20.23 | 5.9 | 40.6 | 0.0 | 0.0 | 0.0 | 20.23 | 12.98 | ||||
| 34 | 19.49 | 81.6 | 16.6 | 0.0 | 0.0 | 0.0 | 19.49 | 14.46 | ||||
| 35 | 20.19 | 0.0 | 27.5 | 0.0 | 0.0 | 0.0 | 20.19 | 13.66 | ||||
| 36 | 19.93 | 0.0 | 27.5 | 0.0 | 0.0 | 0.0 | 19.93 | 14.35 | ||||
| 37 | 20.69 | 13.5 | 23.2 | 0.0 | 0.0 | 0.0 | 20.69 | 12.07 | ||||
| 38 | 20.54 | 13.5 | 23.2 | 0.0 | 0.0 | 0.0 | 20.54 | 12.85 |
重回帰法を使うと各酸化物のHSPを決めることができる。

それでは、このテーブルにない酸化物のHSPを予測したい場合にはどうしたら良いだろうか?
[3. ガラスの物性値とHSPの相関]
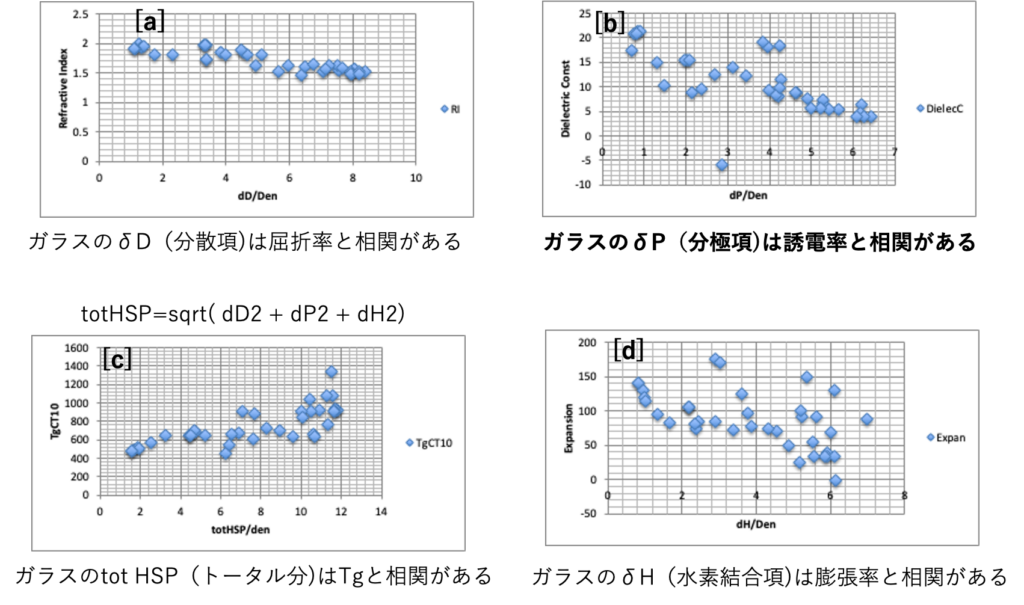
HSPの理論ではtot HSPは蒸発潜熱、dDは屈折率、dPは誘電率と相関付けられている。
求まったガラスのHSPに対して、物性値とどのような相関があるか検証した。用いた物性値はガラスの組成から計算した推算値である。

理由は明らかではないが、HSPの値を密度で割ることによって相関が得られた。
[a] ガラスのδD(分散項)は屈折率と相関がある
[b] ガラスのδP(分極項)は誘電率と相関がある
[c] ガラスのtot HSP(トータル分)はTgと相関がある
[d] ガラスのδH(水素結合項)は膨張率と相関がある
これを相関を使うことによって、ガラスの物性推算が行える酸化物についてはHSPの予測値が得られる。
[4. ガラスの物性値推算]
計算機化学討論会2000[*6]、触媒学会2000[*7]、AGC研究報告ガラスの組成設計[*8]でガラスの物性推算法を構築してきた。熱膨張率、ヤングモジュラス、密度、ガラス転移温度、屈折率、Abbe数はガラスの組成がわかれば計算で出すことができる。
新たにガラスの誘電率[*9]の推算式を構築しなおした。この誘電率の推算はpirikaのもつ解析ツールを利用したものになる。ツールによってどのような知見や洞察が得られるか考える良い例題だ。
[5. Pirikaのリンク]
*1 化粧品用の酸化チタンの表面修飾とハンセン溶解度パラメータ(HSP):沈降時間法
*2 微粒子のハンモック、δNet : 分散に対する新しい指標 : LUMISIZER
*3 HSPとパルスNMR
*4 重回帰法
*5 インクジェット用インク設計:沈降高さ法
*6 ガラスの物性推算と逆設計:計算機化学討論会2000
*7 ガラスの物性推算と逆設計:触媒学会2000
*8 AGC研究報告 光学ガラスの組成設計
*9 ガラスの誘電率の推算式構築
Copyright pirika.com since 1999-
Mail: yamahiroXpirika.com (Xを@に置き換えてください)
メールの件名は[pirika]で始め