2014.2.2、2004.11.14
pirika.comで化学
>チャピエモン-3rd Pirika Origin (CPO)
> ハンセン溶解度パラメータ (HSP)
> 化学全般
> 情報化学 >物性化学 >高分子化学 >化学工学 >その他の化学 >昔のもの
>Pirika ツール群
ブログ
業務案内
お問い合わせ
>物性化学 >1気圧以外の沸点
ニューラルネットワーク法、JAVA版、1気圧以外の沸点
通常、圧力1atmのもとでの沸点を標準沸点あるいは単に沸点といいます。しかし,熱的に不安定な化合物を蒸留しようとして,沸点まで温度を上げると分解してしまう事があります。そのような時には圧力を下げ減圧蒸留をします。高い山の上では水が100℃以下で沸騰してしまうので,インスタントラーメンに沸騰水を入れても美味しくないとか,深海で吹き出る温泉の温度は100℃以上だとかも同じです。では、圧力が1atm以外の時の沸点はどうやって求めるのでしょうか?
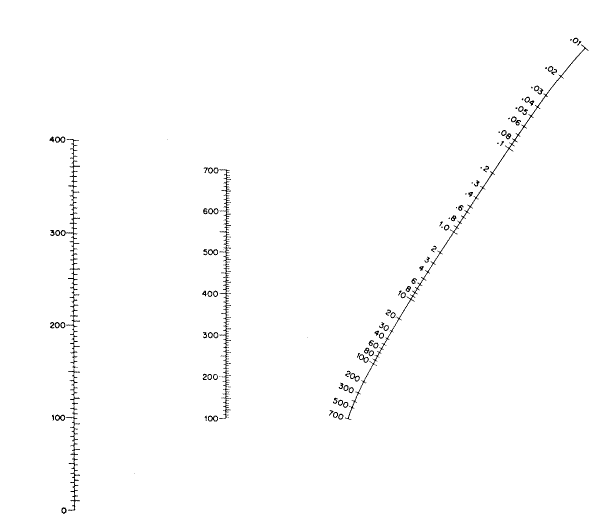
下のようなグラフに定規をあてて変換したことはありませんか?
試薬カタログ、便覧などの付録についていたりしますので見た事があるかと思います。これは、ノモグラフと呼ばれるもので一番左が観測される沸点、まん中が1atmの時の沸点、一番右が圧力です。
例えば定規を右端の圧力(例えば1mmHg)にあわせて,真ん中の沸点(例えば400℃)と結ぶと,その400℃沸点の化合物は,1mmHgの時(一番左の目盛りの読み)190℃で沸騰する事が判ります。
逆に,10mmHgで300℃で沸騰する化合物の1気圧の沸点は480℃であることが読み取れます。
この方法は簡便ですが、プログラム中では用い難いので、解析的に変換するアプレットを作成しました。ニューラルネットワークを用いた方法です。標準沸点と任意の圧力からその圧力の時の沸点に変換するのと、任意の圧力の時の沸点から標準沸点へと変換します。圧力の範囲は0.01-700mmHgです。

760mmHgで沸点が100℃を設定して、何mmHg(ここでは10mmHg)の沸点が知りたい場合に、Convertボタンを押すと-7.7℃であると答えてくれる。逆に、3mmHgで沸点が120℃の化合物は760mmHgで沸点がいくつか知りたい場合にはConvertを押すと、283.6℃であると答える。
2013.2.10
このプログラムの精度を幾つかの化合物で検証してみた。データベースから標準沸点(760mmHg)以外の沸点(圧力)のデータを持ち、かつ、Antoineの定数が決定されている化合物を抜きだした。そして沸点と変換時の圧力を入力して変換後の温度を上のJavaScriptのプログラムを用いて求めた。
| Hcode | Name | BP(760mmHg) | BP2 | mmHg2 | JAVA-Temp@mmHg2 |
| 62 | N-Benzyl Pyrrolidone | 562 | 349.15 | 0.1 | 346.8 |
| 20425 | Imipramine | 710 | 433.15 | 0.1 | 450.9 |
| 6409 | Myristicin | 553.1401145 | 368.15 | 0.2 | 348.8 |
| 8883 | triphenylphosphine | 650.15 | 483.15 | 0.72 | 439.6 |
| 9776 | METHYL 2-NITROBENZOATE | 548.15 | 368.15 | 1 | 367.8 |
| 7587 | cyclohexyl peroxide | 490 | 330.15 | 1.2 | 325.7 |
| 16981 | Delta-Nonalactone | 546.8 | 388.15 | 2 | 378 |
| 16824 | 4-METHOXYPHENYLACETIC ACID | 564 | 411.15 | 2 | 391.4 |
| 7296 | diallyl maleate | 520 | 381.15 | 3 | 363.7 |
| 506 | 3-methyl sulfolane | 549.15 | 377.15 | 3 | 386.9 |
| 16865 | 2-HYDROXYETHYL METHACRYLATE | 499.15 | 340.15 | 3.5 | 349.7 |
| 11008 | phenoxyethyl isobutyrate | 538.15 | 398.15 | 3.98 | 383.2 |
| 8841 | 1-bromononane | 494.15 | 361.15 | 4 | 348 |
| 17232 | methyl hydrocinnamate | 511.65 | 364.15 | 4 | 362 |
| 61 | Benzyl Methacrylate | 518 | 368.15 | 4 | 367.1 |
| 11008 | phenoxyethyl isobutyrate | 538.15 | 398.15 | 4 | 383.3 |
| 1100 | bisphenol a | 633.65 | 493.15 | 4 | 459.6 |
| 16931 | 2-HYDROXYPROPYL ACRYLATE | 498.15 | 350.15 | 5 | 355.1 |
| 17460 | 3-butylidene phthalide | 585.15 | 412.15 | 5 | 425.3 |
| 16897 | DI(2-ETHYLHEXYL)ADIPATE | 690.15 | 487.15 | 5 | 509.5 |
| 16799 | DI-n-DECYL PHTHALATE | 736 | 534.15 | 5 | 545.8 |
| 16879 | OCTADECAMETHYLOCTASILOXANE | 583.6 | 426.15 | 5.1 | 424.5 |
| 16825 | ACETOMETHOXANE_2001Review | 459.15 | 347.15 | 6 | 326.7 |
| 9087 | m-chlorostyrene | 465.15 | 335.15 | 6 | 331.5 |
| 16930 | 2-HYDROXYPROPYL METHACRYLATE | 485 | 363.15 | 9 | 355 |
| 10426 | 3,4-dichlorophenyl isocyanate | 501 | 386.15 | 9.75 | 369.8 |
| 7026 | pyruvic acid | 438.15 | 327.15 | 10 | 318.4 |
| 8893 | o-nitrophenol | 487.15 | 354.75 | 10 | 358.8 |
| 7300 | Isodecanol (8-Methyl-1-Nonanol) | 493 | 381.15 | 10 | 363.6 |
| 7101 | l-glutamic acid | 591 | 448.15 | 10 | 444.8 |
| 653 | Tricresyl Phosphate | 683.15 | 538.15 | 10 | 520.6 |
| 17221 | thenaldehyde | 470.15 | 348.15 | 11 | 346.5 |
| 8760 | 1,2-Propanediol, 3-chloro- | 486.15 | 389.15 | 11 | 359.8 |
| 16981 | Delta-Nonalactone | 546.8 | 410.15 | 11 | 410.2 |
| 8134 | Cyclododecanone | 549.67 | 399.15 | 12 | 414.4 |
| 17190 | diethyl laevo-tartrate | 553.15 | 426.15 | 12 | 417.3 |
| 7722 | cis-stilbene | 554 | 414.15 | 12 | 418 |
| 9096 | phenyl salicylate | 586.15 | 446.15 | 12 | 444.8 |
| 5491 | trans-2-butene-1,4-diol | 499 | 404.15 | 13 | 373.8 |
| 17198 | 2′,4′-dimethyl acetophenone | 501.15 | 383.15 | 13 | 375.6 |
| 8560 | Hexanedioic acid, dimethyl ester | 501.85 | 388.15 | 13 | 376.2 |
| 10695 | Benzaldehyde, 2,4-dimethyl- | 488.14 | 375.65 | 14 | 366.2 |
| 13 | N-Acetyl Caprolactam | 520 | 395.15 | 14 | 392.9 |
| 654 | 1-tridecanol | 553.6 | 425.15 | 14 | 421 |
| 7669 | trimellitic anhydride | 663.15 | 513.15 | 14 | 512.7 |
| 482 | Methyl Ethyl Ketoxime | 445 | 332.15 | 15 | 331.5 |
| 893 | Benzisoxazole | 483.15 | 374.15 | 15 | 363.4 |
| 709 | lactic acid | 490 | 395.15 | 15 | 369.1 |
| 10411 | 3-mercaptopropionic acid | 501 | 384.15 | 15 | 378.4 |
| 16863 | ISOPHORONE DIISOCYANATE | 562 | 431.15 | 15 | 429.6 |
| 5459 | 1-octadecene | 587.97 | 452.15 | 15 | 451.5 |
| 5462 | 1-octadecanol | 624 | 483.15 | 15 | 481.7 |
| 7334 | linoleic acid | 628 | 502.15 | 16 | 486.7 |
| 7522 | t-butyl hydroperoxide | 388.15 | 309.15 | 17 | 286.6 |
| 16862 | ACROLEIN CYANOHYDRIN | 461 | 367.15 | 17 | 347.3 |
| 7657 | p-dimethylaminobenzaldehyde | 588 | 449.15 | 17 | 454.4 |
| 17198 | 2′,4′-dimethyl acetophenone | 501.15 | 390.15 | 18 | 382.3 |
| 9105 | styrene dibromide | 532.65 | 406.15 | 19 | 410.1 |
| 1013 | 3-heptanol | 429.15 | 339.15 | 20 | 323.7 |
| 16536 | ACETALDOL | 444 | 356.15 | 20 | 336.2 |
| 17242 | dihydroanethol | 484.65 | 377.15 | 20 | 370.5 |
| 8619 | dibutyl disulfide | 504.36 | 390.15 | 20 | 387.2 |
| 16 | N-Acetyl Pyrrolidone | 508 | 391.15 | 20 | 390.3 |
| 10645 | isobutyl benzoate | 515.15 | 397.15 | 20 | 396.4 |
| 7317 | butyl nonanoate | 520 | 395.15 | 20 | 400.5 |
| 7967 | Isopropyl Myristate | 588 | 465.75 | 20 | 458.4 |
| 502 | methyl oleate | 617 | 491.65 | 20 | 483 |
| 9126 | m-nitrobenzaldehyde | 559 | 437.15 | 23 | 437 |
| 16694 | 1-PHENYL-2-PROPANOL | 493.15 | 398.15 | 25 | 382.53 |
| 23 | acrylamide | 514 | 398.15 | 25 | 400.38 |
| 13 | N-Acetyl Caprolactam | 520 | 407.15 | 26 | 406.4 |
| 1017 | Thioglycolic Acid (Mercapto Acetic Acid) | 493 | 396.15 | 29 | 385.7 |
| 7106 | 6-Aminohexanol (6-Amino-1-Hexanol) | 496.15 | 408.15 | 30 | 389.2 |
| 16716 | p-NITRODIPHENYLAMINE | 616.15 | 484.15 | 30 | 492.9 |
| 7122 | pentaerythritol | 631 | 549.15 | 30 | 505.7 |
| 3225 | 1,3-Difluoro-propan-2-ol | 400.26 | 327.15 | 34 | 309.6 |
| 6409 | Myristicin | 553.14 | 444.15 | 40 | 445.6 |
| 9103 | n,n-diphenylhydrazine | 595.25 | 493.15 | 40 | 482.5 |
| 1018 | Allyl Methacrylate | 412.65 | 333.15 | 43 | 325 |
| 11478 | isopropyl laurate | 554.45 | 469.15 | 60 | 457.6 |
| 7620 | m-divinylbenzene | 472.65 | 394.15 | 76 | 390.8 |
| 17203 | 2-naphthyl mercaptan | 561.15 | 483.15 | 100 | 478.7 |
| 7287 | azelaic acid | 633.36 | 559.65 | 100 | 544.74 |
| 1225 | sebacic acid | 642.09 | 567.65 | 100 | 552.7 |
平均誤差は10.6Kであった。

分子の構造のみからAntoine Aの値を推算するのは難しいが、もし、1点でも実験値の温度-圧力データがあればAntoine Aの値を決定することができ、その後は任意の温度ー圧力関係を計算することができる。
Antoine B とCは分子構造のみから比較的精度高く推算する事ができる。
| Hcode | BP(760mmHg) | BP2 | mmHg2 | Ant A from BP | Ant B | Ant C | Ant-Temp@mmHg2 |
| 62 | 562 | 349.15 | 0.1 | 7.530 | 2095.0 | 161.80 | 357.0 |
| 20425 | 710 | 433.15 | 0.1 | 7.183 | 2451.6 | 133.03 | 439.7 |
| 6409 | 553.14 | 368.15 | 0.2 | 7.314 | 1980.2 | 166.73 | 353.6 |
| 8883 | 650.15 | 483.15 | 0.72 | 7.278 | 2344.2 | 156.07 | 433.0 |
| 9776 | 548.15 | 368.15 | 1 | 7.418 | 2003.0 | 166.43 | 376.7 |
| 7587 | 490 | 330.15 | 1.2 | 7.357 | 1694.3 | 161.63 | 344.3 |
| 16981 | 546.8 | 388.15 | 2 | 7.022 | 1852.6 | 173.73 | 375.1 |
| 16824 | 564 | 411.15 | 2 | 7.757 | 2074.2 | 134.53 | 416.8 |
| 7296 | 520 | 381.15 | 3 | 7.676 | 1931.3 | 155.95 | 385.5 |
| 506 | 549.15 | 377.15 | 3 | 7.269 | 2010.6 | 182.23 | 387.0 |
| 16865 | 499.15 | 340.15 | 3.5 | 7.065 | 1725.6 | 186.43 | 351.4 |
| 11008 | 538.15 | 398.15 | 3.98 | 7.409 | 1951.4 | 165.98 | 393.8 |
| 8841 | 494.15 | 361.15 | 4 | 7.072 | 1702.6 | 185.23 | 351.1 |
| 17232 | 511.65 | 364.15 | 4 | 7.217 | 1814.0 | 179.82 | 367.5 |
| 61 | 518 | 368.15 | 4 | 7.227 | 1829.9 | 176.18 | 373.2 |
| 11008 | 538.15 | 398.15 | 4 | 7.409 | 1951.4 | 165.98 | 393.9 |
| 1100 | 633.65 | 493.15 | 4 | 8.131 | 2398.4 | 96.33 | 495.4 |
| 16931 | 498.15 | 350.15 | 5 | 6.998 | 1667.2 | 179.90 | 357.9 |
| 17460 | 585.15 | 412.15 | 5 | 6.507 | 1750.3 | 170.73 | 403.8 |
| 16897 | 690.15 | 487.15 | 5 | 7.249 | 2362.8 | 123.97 | 509.9 |
| 16799 | 736 | 534.15 | 5 | 7.480 | 2626.3 | 108.24 | 552.2 |
| 16879 | 583.6 | 426.15 | 5.1 | 7.162 | 1962.6 | 147.99 | 429.2 |
| 16825 | 459.15 | 347.15 | 6 | 7.292 | 1632.6 | 184.09 | 339.7 |
| 9087 | 465.15 | 335.15 | 6 | 6.959 | 1612.9 | 203.50 | 330.6 |
| 16930 | 485 | 363.15 | 9 | 7.257 | 1707.1 | 178.25 | 365.8 |
| 10426 | 501 | 386.15 | 9.75 | 7.532 | 1845.6 | 168.91 | 386.3 |
| 7026 | 438.15 | 327.15 | 10 | 7.718 | 1619.8 | 169.83 | 344.4 |
| 8893 | 487.15 | 354.75 | 10 | 7.724 | 1868.3 | 171.74 | 379.3 |
| 7300 | 493 | 381.15 | 10 | 7.423 | 1757.0 | 166.99 | 379.7 |
| 7101 | 591 | 448.15 | 10 | 8.425 | 2275.1 | 92.47 | 487.1 |
| 653 | 683.15 | 538.15 | 10 | 7.672 | 2500.0 | 111.75 | 536.1 |
| 17221 | 470.15 | 348.15 | 11 | 7.032 | 1653.9 | 201.38 | 347.8 |
| 8760 | 486.15 | 389.15 | 11 | 7.707 | 1776.2 | 155.04 | 384.6 |
| 16981 | 546.8 | 410.15 | 11 | 7.022 | 1852.6 | 173.73 | 409.2 |
| 8134 | 549.67 | 399.15 | 12 | 7.063 | 1899.7 | 177.72 | 412.9 |
| 17190 | 553.15 | 426.15 | 12 | 7.764 | 2108.0 | 151.66 | 436.8 |
| 7722 | 554 | 414.15 | 12 | 7.265 | 2002.4 | 175.85 | 421.0 |
| 9096 | 586.15 | 446.15 | 12 | 7.289 | 2068.9 | 156.28 | 450.0 |
| 5491 | 499 | 404.15 | 13 | 7.722 | 1798.4 | 145.64 | 399.7 |
| 17198 | 501.15 | 383.15 | 13 | 7.069 | 1766.6 | 193.76 | 376.0 |
| 8560 | 501.85 | 388.15 | 13 | 7.301 | 1774.5 | 172.79 | 387.2 |
| 10695 | 488.14 | 375.65 | 14 | 7.254 | 1751.6 | 185.50 | 374.4 |
| 13 | 520 | 395.15 | 14 | 7.112 | 1816.7 | 182.51 | 395.2 |
| 654 | 553.6 | 425.15 | 14 | 7.344 | 1916.3 | 148.86 | 433.5 |
| 7669 | 663.15 | 513.15 | 14 | 7.765 | 2488.3 | 119.44 | 529.6 |
| 482 | 445 | 332.15 | 15 | 7.077 | 1487.6 | 182.66 | 342.6 |
| 893 | 483.15 | 374.15 | 15 | 7.034 | 1688.6 | 196.54 | 364.9 |
| 709 | 490 | 395.15 | 15 | 7.652 | 1731.4 | 146.07 | 394.5 |
| 10411 | 501 | 384.15 | 15 | 7.356 | 1766.4 | 166.83 | 392.1 |
| 16863 | 562 | 431.15 | 15 | 7.410 | 2089.3 | 172.41 | 435.9 |
| 5459 | 587.97 | 452.15 | 15 | 7.167 | 2015.9 | 155.47 | 454.2 |
| 5462 | 624 | 483.15 | 15 | 7.285 | 2136.3 | 134.25 | 488.6 |
| 7334 | 628 | 502.15 | 16 | 7.901 | 2278.5 | 98.99 | 514.4 |
| 7522 | 388.15 | 309.15 | 17 | 7.431 | 1392.4 | 191.04 | 306.7 |
| 16862 | 461 | 367.15 | 17 | 7.488 | 1671.5 | 174.91 | 365.3 |
| 7657 | 588 | 449.15 | 17 | 6.884 | 1945.1 | 171.05 | 446.2 |
| 17198 | 501.15 | 390.15 | 18 | 7.069 | 1766.6 | 193.76 | 383.2 |
| 9105 | 532.65 | 406.15 | 19 | 7.099 | 1858.3 | 181.03 | 411.4 |
| 1013 | 429.15 | 339.15 | 20 | 7.284 | 1498.0 | 184.22 | 339.3 |
| 16536 | 444 | 356.15 | 20 | 7.247 | 1543.1 | 182.52 | 350.1 |
| 17242 | 484.65 | 377.15 | 20 | 7.184 | 1713.0 | 186.59 | 377.7 |
| 8619 | 504.36 | 390.15 | 20 | 7.121 | 1740.1 | 179.21 | 392.9 |
| 16 | 508 | 391.15 | 20 | 6.951 | 1737.3 | 192.00 | 388.6 |
| 10645 | 515.15 | 397.15 | 20 | 7.074 | 1806.1 | 188.69 | 397.3 |
| 7317 | 520 | 395.15 | 20 | 7.340 | 1853.1 | 168.69 | 411.3 |
| 7967 | 588 | 465.75 | 20 | 7.245 | 2050.1 | 154.88 | 463.2 |
| 502 | 617 | 491.65 | 20 | 7.488 | 2212.1 | 136.26 | 494.4 |
| 9126 | 559 | 437.15 | 23 | 7.203 | 1984.5 | 173.28 | 439.6 |
| 16694 | 493.15 | 398.15 | 25 | 7.302 | 1727.3 | 170.65 | 395.0 |
| 23 | 514 | 398.15 | 25 | 7.213 | 1765.0 | 166.52 | 410.1 |
| 13 | 520 | 407.15 | 26 | 7.112 | 1816.7 | 182.51 | 409.5 |
| 1017 | 493 | 396.15 | 29 | 7.205 | 1689.7 | 170.86 | 396.5 |
| 7106 | 496.15 | 408.15 | 30 | 7.510 | 1767.3 | 158.77 | 407.3 |
| 16716 | 616.15 | 484.15 | 30 | 7.681 | 2303.8 | 136.92 | 507.6 |
| 7122 | 631 | 549.15 | 30 | 7.824 | 2192.6 | 85.75 | 532.9 |
| 3225 | 400.26 | 327.15 | 34 | 7.207 | 1355.2 | 186.16 | 325.8 |
| 6409 | 553.14 | 444.15 | 40 | 7.314 | 1980.2 | 166.73 | 453.1 |
| 9103 | 595.25 | 493.15 | 40 | 7.392 | 2154.9 | 155.61 | 489.7 |
| 1018 | 412.65 | 333.15 | 43 | 7.202 | 1480.4 | 203.07 | 335.9 |
| 11478 | 554.45 | 469.15 | 60 | 7.275 | 1961.8 | 165.15 | 464.9 |
| 7620 | 472.65 | 394.15 | 76 | 6.956 | 1635.4 | 201.79 | 393.6 |
| 17203 | 561.15 | 483.15 | 100 | 7.039 | 1923.0 | 174.42 | 480.3 |
| 7287 | 633.36 | 559.65 | 100 | 7.552 | 2176.5 | 105.75 | 559.4 |
| 1225 | 642.09 | 567.65 | 100 | 7.459 | 2186.8 | 108.72 | 565.0 |
平均誤差は 7.2KでAntoine 法はJavaチャート法と比べると精度が高い事が分かる。

1気圧以外の沸点を推算する際に、一点でも実験値があるのであれば、Antoine の蒸気圧式を使う事をお勧めする。
最新の推算方法は、HSPiPに搭載されました。
- HSPiPの機能概要
- HSPiPの購入方法
プログラムによってどんな原子団が使えるかはこちらで確認のこと
ノモグラフに関しては次の本が良い参考書になると思います。
化学系のための実用数学
平田光穂、小島和夫、栃木勝己著 朝倉書店
このようなアプレットを開発するには、まず、手作業で片っぱしから定規を当てて、数値を読み、例えば標準沸点(目的変数)、mmHg(説明変数1)、 変換温度(説明変数2)というテーブルを作ります。
このときは(1998.8.4)260データポイントぐらい作りました。
そして、ニューラルネットワーク(NN)という技術を用いて、このデータを学習させてしまいます。逆に変換温度(目的変数)、標準沸点(説明変数1)、mmHg(説明変数2)を学習させて、説明変数を入力すると目的変数を答えてくれるNN・システムを構築します。
NN・システムに付いて詳しくはこちらの記事を参照にしてください。
物性化学トップページ
Copyright pirika.com since 1999-
Mail: yamahiroXpirika.com (Xを@に置き換えてください)
メールの件名は[pirika]で始めてください。