大きな分子を分割して領域ごとのHSPを見る

2013.1.12

pirika.comで化学
 >チャピエモン-3rd Pirika Origin (CPO)
 > ハンセン溶解度パラメータ (HSP)
  >HSPiP(実践ハンセン溶解度パラメータ)ソフトウエアー
  > HSPiPの購入方法
  > HSPiPを用いた解析例

    >基礎 >応用 >ポリマー >医薬品など >環境・溶媒設計 >分析 
    >その他 >DIY/YMB >アバターチュートリアル  >次世代に向けて
  >次世代HSP2技術
 > 化学全般
 >Pirika ツール群
ブログ
業務案内
お問い合わせ

[1. 概要]

ハンセンの溶解度パラメータ(HSP)は分子間力をパラメータ化したものと考えることができる。自分が自分自身と一番よく相互作用する。分子が小さい場合には、分子間力を断ち切るのに必要なエネルギーは蒸発潜熱(Hv: 液体から気体に変わる時のエネルギー)と考えることができる。Hvを分子の体積(MVol)で割ったものが、単位体積あたりの蒸発エネルギーになる。溶解度パラメータ(SP値)はSP=sqrt(Hv/MVol)と定義される。色素増感太陽電池、有機EL材料のようにイオン性の金属が中心にある化合物は蒸発潜熱が得られない。そこで現状では物性推算式YMBではSP値は推算できない。イオン性の問題だけでなく、高分子は一般に蒸発潜熱は得られない。しかしイオン性のものでも高分子でも、HSPが既知の溶媒群を使って溶解性試験を行い、挟み撃ち法でHSPを決めることは可能である。高分子の場合にはユニット・セル(繰り返し単位)のHSPをYMB(YPB)で推算することは可能だ。それと同じで、色素増感太陽電池、有機EL材料などの場合には、計算できない中心イオンは取り敢えず除いて周辺の構造をYMBで計算する事が重要だ。多くの場合、イオンをキレートする部分と、溶解性を持たせる部分を持つ。そうした構成の大きな分子は部分部分に分割してHSPを計算することが有効である。大きな分子を自動的に分割する技術は、近い将来には可能になるだろうが、現状では人間がやったほうが良い。

[2. 大きな分子の計算法」


色素増感太陽電池、有機EL材料を設計している海外のHSPiPユーザーから同じような質問を何度も受けるので、HPにそのやり方をまとめておく。

YouTubeでも説明している(大きな分子を分割して部分ごとのHSPを見る)

実際のデータの作り方は、配糖体のHSPのページを参照してほしい。

元ネタは色素増感太陽電池有機EL材料を参照して頂きたい。

彼らが何を悩んでいるかというと、
例えば下図のような化合物
(DPP(TBFu)2)のHSPをYMBで計算すると、
[dD, dP, dH]=[17.7, 0.0, 6.4]になる。
特にdPが0.0になるのは信じられないとメールを頂く。
計算に誤りがあるのではないか?と言われる。

DPP(TBFu)2 :3,6-Bis[5-(2-benzofuranyl)-2-thienyl]-2,5-bis(2-ethylhexyl)pyrrolo[3,4-c]pyrrole-1,4-dione、

Adv. Funct. Mat. 19, 3063 (2009), HSP determination in Adv. Funct. Mat.1, 211 (2011)には、実験から求めた値として、[19.3, 4.8, 6.3]が記載されているという。

図1 大きな分子を描いてHSPを計算する山本自作のソフト。
パワーツールとして開発したが現在は使っていない。JSMEを用いて分子を描きSMILESの構造式を得る。YMBの推算はSMILESの構造式から行う。

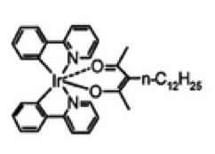
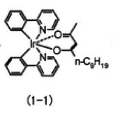
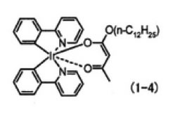
有機EL化合物の場合も同様に、Ir(イリジウム)の部分が計算できないのはしょうがないが、修飾の仕方を変えた事によって溶解度がどう変わるか、どのように見積もれば良いのか?という質問だ。

図2. 特許に記載されているIr錯体の構造。Irの部分の計算はできない。Ir以外の部分をYMBで計算することは可能である。

このような大きな分子をHSPiPで全部計算してしまう事はお勧めしない。
(機能的には120重原子まで計算できるが。)
それではどのように計算するのかというと、分子を領域にわけ、部分ごとに計算する。
(この部分ごとに分子を分割してSmilesの構造式を得るにはJSMEを用いると良い。)

すると、先ほどの分子は3つの領域に分けられ、各々の部分は、
オレンジ[19.1, 10.3, 7.3],
青[20.4, 3, 5.8] ,
緑[15, 0, 0]になる。
オレンジの部分にある窒素にはメチルをつける。それは、N-H と3級窒素で物性は大きく異なるからだ。

これを見れば、実験から求めた値、[19.3, 4.8, 6.3]はどの領域を溶かしているかは一目瞭然だろう。
青く塗った領域、[20.4, 3, 5.8]の部分を溶かしているに違いない。

それでは、こうした分子の設計はどのように行われているのだろうか? 

Small Molecule Solution-Processed Bulk Heterojunction Solar Cells Bright Walker, Chunki Kim, and Thuc-Quyen Nguyen, Chem. Mater. 2011, 23, 470–482 には、Diketopyrrollopyrrple類としては下記の4種類の構造が記されている。

元の化合物は20で、中心骨格は同じだ。
窒素についている部分が2−エチルヘキシルからエステル(カルバメート?)に変わったもの(18)
硫黄部分がチオフェンが3つ繋がったもの(18)
ベンゼン環を介して繋がったもの(21)がある。

そこで、次のものを計算しておけば、ここにある18-21の化合物を評価できる。

それでは、こうしたHSP値があった場合、側鎖を変える事による溶解性はどのように評価できるだろうか?

HSPiP本来の使い方であれば、18-21の化合物を20種類ぐらいの溶媒を使って溶解試験を行い、挟み撃ち法で溶質のHSP値と相互作用半径を決定する。

しかし、多くの場合、こうした化合物を合成するのは非常に手間のかかる事なので、コンピュータの計算だけから、おおよその溶解性を見積もりたい事が多々ある。

以降、2013年の古い記述。

ここでは後者の方法を説明しよう。

HSPiP ver. 4.0のパワーツール、Y-Fitを立ち上げる。そして適用な溶媒、ここではHSPiPの例題(Example)の中にある、Chaptor4.hsdを読み込んでみる。溶媒が3次元座標に読み込まれる。

次に、表示のタブ(青色)を選択する。
そこに先に求めておいた
中心部分[19.1, 10.3, 7.3]、
硫黄の部分[20.4, 3, 5.8]
に適当な半径(6)を入れる。表示したい球にチェックを入れると、
緑の球、水色の球、黄色の球が表示される。
水色の球と緑の球は一部重なっている事が(回転:マウスボタンを押したまま動かすと)分かる。

溶媒の球をクリックすると溶媒名が現れるので、どんな溶媒がどの部分を溶解するか見てみよう。

さらに、t-ブチルエステルの球4にチェックを入れると、マゼンタ色の球が表示される。
黄色の2-エチルヘキシル基と比べると、t-ブチルエステル基は中心骨格、 硫黄の部分ともうっすら重なっている事が分かる。

Drag=回転, Drag+Shift キー=拡大、縮小, Drag+コマンドキーかAltキー=移動。 溶媒をクリックすれば溶媒の名前が現れる。

どの溶媒がどの領域を溶解しているかを、溶媒をクリックしながら確認して欲しい。
こうした球の重なりは、ポリマー同士が混じってIPN構造を作るかどうか、などの検討に使われている。

表示されない場合


本来、こうした太陽電池用の化合物は、中心部分が微結晶を作っている事が重要であると読んだ事がある。

つまり中心骨格部分は他の中心骨格部分と重なって(スタッキングをおこし)、硫黄部分もスタッキングをおこし、もう一つの側鎖部分は結晶化を阻害しないが溶解性を高く保つのに重要なのではないかと考えられる。

硫黄部分を他の2つの構造に変えた時にどうなるかは、自分でやってみて欲しい。

どの溶媒がどの領域を溶解しているかを、溶媒をクリックしながら確認して欲しい。

有機EL材料についても、やることは同じである。中心のIrを除いた領域を計算し、HSPが既知の溶媒とプロットするだけだ。

Drag=回転, Drag+Shift キー=拡大、縮小, Drag+コマンドキーかAltキー=移動。 溶媒をクリックすれば溶媒の名前が現れる。

例えば、この有機EL素材をインクジェットで塗りたいなら、どんな(混合)溶媒をならいいか? 
このような領域ごとに分けてハンセン空間にプロットすると、見通しが良くなるのがお分かりいただけるだろう。

石炭のような化合物の部分ごとのHSPを検討するという事も行われている。

Drag=回転, Drag+Shift キー=拡大、縮小, Drag+コマンドキーかAltキー=移動。溶媒をクリックすれば溶媒の名前が現れる。

表示されない場合

医薬品についてはこちらの記事を参照して頂きたい。


Copyright pirika.com since 1999-
Mail: yamahiroXpirika.com (Xを@に置き換えてください)
メールの件名は[pirika]で始めてください

コメントを残す

メールアドレスが公開されることはありません。 が付いている欄は必須項目です